非小号

23949

虚拟币

128

交易平台

63

钱包

¥7.1

USDT场外

59.9264%

BTC 占比

9Gwei

ETH Gas

资讯
行情
资讯 > 正文
当流动性被“拔掉电源”:复盘做市商在 1011 暴跌中的角色
ChainCatcher2025-10-22 23:38:54

作者: @BlazingKevin_ ,the Researcher at Movemaker

在加密资产市场中,交易者时常会遇到两类典型问题:一是目标交易代币的买一价与卖一价之间存在过大的差额;二是在提交大额市价订单后,资产价格出现剧烈变动,导致成交价严重偏离预期,产生高昂的滑点成本。这两类现象均由同一个根本性因素导致——市场流动性不足。而系统性地解决这一问题的核心市场参与者,即是做市商。

做市商的准确定义是专业的量化交易公司,其核心业务是在交易所的订单簿上,围绕资产的当前市场价格,持续地、同时性地提交密集的买入(Bid)和卖出(Ask)报价。

他们存在的根本功能,是为市场提供持续的流动性。通过双边报价行为,做市商直接缩小了买卖价差(Bid-Ask Spread),并增加了订单簿的深度。这确保了其他交易者在任何时间点的买卖意图,都能得到即时的订单匹配,从而使交易能够高效、并以一个公允的价格执行。作为此项服务的报酬,做市商的利润来源于在海量交易中获取的微小价差,以及交易所为激励流动性供给而支付的费用返还。

1011的市场行情,使做市商的角色成为市场讨论的焦点。当价格出现极端波动时,一个关键问题浮现:做市商是被动地触发了连锁清算,还是在风险加剧时主动撤回了流动性报价?

为了分析做市商在类似情况下的行为模式,有必要首先理解其运营的基本原理。本文旨在系统性地回答以下几个核心问题:

  1. 做市商赖以盈利的商业模式是什么?
  2. 为实现其商业目标,做市商会采取何种量化策略?
  3. 当市场波动加剧并出现潜在风险时,做市商分别会启动哪些风险控制机制?

在厘清上述问题的基础上,我们将能够更清晰地推断出,在1011行情中做市商的行为逻辑与决策轨迹。

做市商的基础盈利模型

1.1 核心盈利机制:价差捕获与流动性返佣

要理解做市商在市场中的行为,首先必须知道其最根本的盈利来源。做市商通过在交易所订单簿上提供持续的双边报价(即“做市”),其利润主要由两个部分构成:捕获买卖价差与赚取交易所的流动性供给返佣

为阐述这一机制,我们构建一个简化的合约订单簿分析模型。

来源:Movemaker

假设存在一个订单簿,其买卖盘分布如下:

  • 买盘 (Bids): 密集分布于 $1000.0, $999.9, $999.8 等价位。
  • 卖盘 (Asks): 密集分布于 $1000.1, $1000.2, $1000.3 等价位。

同时,我们设定以下市场参数:

  • 吃单方手续费: 0.02%
  • 挂单方返佣 : 0.01%
  • 最小价格增量 : $0.1
  • 当前价差 (Spread): 最优买价 ($1000.0) 与最优卖价 ($1000.1) 之间的差额为 $0.1。

1.2 交易流程与成本收益分析

现在,我们通过一个完整的交易周期来分解做市商的收益过程。

步骤一:做市商的买单被动成交 (Taker Sells)

来源:Movemaker

  • 事件: 市场上一位交易者(Taker)以市价卖出一个合约,该订单与订单簿上最优的限价买单成交,即做市商在 $1000.0 价位挂出的买单。
  • 名义成本: 从交易记录上看,做市商似乎以 $1000.0 的价格,建立了一个合约的多头头寸。
  • 有效成本: 然而,由于做市商是流动性提供方(Maker),该笔交易不仅无需支付手续费,还能获得交易所 0.01% 的返佣。在本例中,返佣金额为 $1000.0 * 0.01% = $0.1。因此,做市商建立该多头头寸的实际资金流出(有效成本)为:$1000.0 (名义成本) - $0.1 (返佣) = $999.9

步骤二:做市商的卖单被动成交 (Taker Buys)

  • 事件: 市场上一位交易者(Taker)以市价买入一个合约,该订单与订单簿上最优的限价卖单成交,即做市商在 $1000.1 价位挂出的卖单。此举平掉了做市商在步骤一中建立的多头头寸。
  • 名义收入: 交易记录显示做市商以 $1000.1 的价格卖出。
  • 有效收入 : 同样,作为流动性提供方,做市商在此次卖出交易中再次获得 0.01% 的返佣,金额为 $1000.1 * 0.01% ≈ $0.1。因此,做市商平仓的实际资金流入(有效收入)为:$1000.1 (名义收入) $0.1 (返佣) = $1000.2

1.3 结论:真实利润的构成

通过完成这一买一卖的完整周期,做市商的单次总利润为:

总收益=有效收入−有效成本=$1000.2−$999.9=$0.3

由此可见,做市商的真实利润,并不仅仅是订单簿上可见的 $0.1 名义价差。其真实利润的构成是:

真实利润=名义价差 买单返利 卖单返利

$0.3=$0.1 $0.1 $0.1

这种在高频交易中,通过无数次重复上述过程来累积微小利润的模式,构成了做市商业务最基础、最核心的盈利模型。

做市商的动态策略与风险敞口

2.1 盈利模型面临的挑战:定向价格变动

前述的基础盈利模型,其有效性的前提是市场价格在一定区间内窄幅波动。然而,当市场出现明确的单边定向移动时,该模型将面临严峻挑战,并使做市商直接暴露于一种核心风险之下——逆向选择风险

逆向选择是指,当新信息进入市场导致资产公允价值发生变化时,知情的交易者会选择性地成交做市商尚未更新的、处于“错误”价位的报价,从而使做-市商积累对其不利的头寸。

2.2 场景分析:应对价格下跌的策略抉择

为具体说明,我们延续之前的分析模型,并引入一个市场事件:资产的公允价格从 $1000 迅速下跌至 $998.0。

来源:Movemaker

假设做市商只持有一个在先前交易中建立的多头合约,其有效成本为 $999.9。如果做市商不采取任何行动,其在 $1000.0 附近挂出的买单将对套利者构成无风险的利润机会。因此,一旦监测到价格的定向变动,做市商必须立即做出反应,首要动作是主动撤销所有接近旧市场价格的买单

此时,做市商面临一个策略抉择,主要有以下三种应对方案:

  • 方案一:立即平仓,实现亏损 做市商可以选择以市价单立即卖出持有的多头合约。假设成交在 $998.0,做市商需支付 0.02% 的吃单手续费。

    亏损=(有效成本−退出价格) 吃单手续费

    亏损=($999.9−$998.0) ($998.0×0.02%)≈$1.9 $0.2=$2.1

    此方案的目的是迅速消除风险敞口,但会立即产生确定性的亏损。

  • 方案二:调整报价,寻求更优价格退出 做市商可以将自己的卖一报价下调至新的市场公允价附近,例如 $998.1。如果该卖单成交,做市商将作为挂单方获得返佣。

    亏损=(有效成本−退出价格)−挂单返利

    亏损=($999.9−$998.1)−($998.1×0.01%)≈$1.8−$0.1=$1.7

    此方案旨在以更小的损失退出头寸。

  • 方案三:扩大价差,管理现有头寸 做市商可以采取非对称的报价策略:将卖一报价调整至一个相对不具吸引力的价位(如图 $998.8),同时将新的买单挂在更低的价位(如 $998.0 和 $997.9)。 此策略的目标是通过后续的交易来管理并降低现有头寸的平均成本。

2.3 策略执行与库存风险管理

假设在“单一做市商”市场结构下,由于其拥有绝对的定价权,做市商大概率会选择方案三,以避免立即实现亏损。在该方案中,由于卖单价格 ($998.8) 远高于公允价 ($998.0),其成交概率较低。相反,更靠近公允价的买单 ($998.0) 更可能被市场上的卖方成交。

步骤一:通过增持降低平均成本

  • 事件:做市商在 $998.0 挂出的买单被成交。
  • 新增头寸的有效成本:$998.0 - (998.0×0.01%)≈$997.9
  • 更新后的总头寸:做市商现在持有两份多头合约,其总有效成本为 999.9 $997.9=$1997.8。
  • 更新后的平均成本:$1997.8 / 2 = $998.9

步骤二:基于新成本调整报价

通过上述操作,做市商成功将其多头头寸的盈亏平衡点从 $999.9 降低至 $998.9。基于这个更低的成本基础,做市商现在可以更积极地寻求卖出机会。例如,它可以将卖一报价从 $998.8 大幅下调至 $998.9,在实现盈亏平衡的同时,将价差从之前的 $1.8 ($999.8 - $998.0) 显著缩小至 $0.8 ($998.8 - $998.0),以吸引买方成交。

2.4 策略的局限性与风险的暴露

然而,这种通过增持来摊薄成本的策略具有明显的局限性。如果价格继续下跌,例如从 $1000 崩跌至 $900,做市商将被迫在持续亏损的情况下不断增持,其库存风险将急剧放大。届时,继续扩大价差将导致交易完全停滞,形成恶性循环,最终不得不以巨大亏损强行平仓。

这就引出一个更深层次的问题:做市商如何定义和量化风险?不同程度的风险又与哪些核心因素相关?对这些问题的回答,是理解其在极端市场中行为的关键。

核心风险因素与动态策略制定

做市商的盈利模型,本质上是在承担特定风险以换取回报。其面临的亏损,主要源于资产价格在短期内发生大幅度的、不利于其库存头寸的偏离。因此,理解其风险管理框架,是剖析其行为逻辑的关键。

3.1 核心风险的识别与量化

做市商面临的风险,可以归结为两个相互关联的核心因子:

  1. 市场波动性 : 这是首要的风险因子。波动性的加剧,意味着价格偏离当前均值的可能性和幅度都在增加,直接威胁到做市商的库存价值。
  2. 均值回归的速度: 这是第二个关键因子。在价格发生偏离后,其能否在短时间内回归至均衡水平,决定了做市商是能通过摊平成本最终盈利,还是会陷入持续的亏损。

而判断均值回归可能性的一个关键可观测指标,是交易量。在作者今年4月22号发表的文章《市场分歧加剧的回顾:反弹转变为反转,还是下跌中继的第二次派发?》提到了订单簿中的弹珠理论,不同价格的挂单根据挂单量形成了厚度不均的玻璃层,波动的市场就如同一颗弹珠。我们可以将订单簿上不同价位的限价订单,视为具有不同厚度的“流动性吸收层”。

市场的短期价格波动,则可视为一股冲击力量的弹珠。在低交易量环境下,冲击力量较弱,价格通常被限制在最密集的流动性层之间窄幅运动。而在高交易量环境下,冲击力量增强,足以击穿多层流动性。被消耗的流动性层难以瞬时补充,尤其是在单边行情中,这会导致价格向一个方向持续移动,均值回归的概率降低。因此,单位时间内的交易量,是衡量这股冲击力量强度的有效代理指标

3.2 基于市场状态的动态策略参数化

来源:Movemaker

根据波动性在不同时间尺度(日内 vs. 日间)的表现,做市商会动态调整其策略参数,以适应不同的市场环境。其基础策略可以归纳为以下几种典型状态:

  • 在稳定市场中,当价格的日内与日间波动均处于低位时,做市商的策略会极具进攻性。他们会采用大额订单与极窄的价差,目标是最大化交易频率和市场份额,以在低风险环境中捕获尽可能多的成交量。

  • 在区间震荡市场中,当价格呈现高日内波动、但低日间波动的特征时,做市商对价格的短期均值回归抱有较高信心。因此,他们会扩大价差以获取更高的单笔利润,同时维持较大的订单规模,以便在价格波动时有足够的“弹药”进行成本摊平。

  • 在趋势性市场中,当价格日内波动平稳、但日间呈现明确的单边走势时,做市商的风险敞口急剧增加。此时,策略会转向防御。他们会采用极窄的价差与小额的订单,目的是快速成交以捕获流动性,并在趋势对自身库存不利时能够迅速止损退出,避免与长期趋势对抗。

  • 在极端波动市场(危机状态)中,当价格的日内与日间波动性全面加剧时,做市商的风险管理被置于首位。策略会变得极度保守,他们会显著扩大价差并使用小额订单,以极度谨慎的方式管理库存风险。在这种高风险环境下,许多竞争对手可能会退出,反而为有能力管理风险的做市商留下了潜在的机会。

3.3 策略执行的核心:公允价格发现与价差设定

无论在哪种市场状态下,做市商策略的执行都围绕两个核心任务展开:确定公允价格设定最优价差

  1. 确定公允价格 这是一个不存在唯一正确答案的复杂问题。若模型有误,做市商的报价将被更知情的交易者“吃掉”,使其系统性地积累亏损头寸。常见的基础方法包括使用聚合多个交易所的指数价格 ,或取当前最优买卖价的中间价。最终,无论采用何种模型,做市商必须确保其报价具备市场竞争力,能够有效出清库存。长期持有大量单边头寸,是导致重大亏损的最主要原因。

  2. 设定最优价差 设定价差的难度甚至高于发现公允价格,因为它是一个动态的、多方博弈的过程。过于激进地收窄价差,会陷入“竞争性均衡陷阱”:虽然能抢占最优报价位置,但利润空间被压缩,且一旦价格变动,极易被套利者率先成交。这要求做市商必须构建一个更智能的量化框架。

3.4 一个简化的最优价差量化框架

为阐明其内在逻辑,我们引用Meduim上的作者 David Holt 构建的一个简化模型,在一个高度理想化的假设下,推导最优价差。

  • A. 核心假设与波动性测算 假设市场价格在短期内服从正态分布,以 1 秒为采样周期,考察过去 60 秒的样本数据。经计算,该样本内标记价格相对于平均中间价的标准差 (σ) 为 $0.4。这意味着,在约 68% 的时间内,下一秒的价格将落在 [均值 - $0.4, 均值 $0.4] 的区间内。

来源:Idrees

  • B. 关联价差、概率与预期收益 基于此,我们可以推算不同价差被成交的概率,并计算其预期收益。例如,若设定 $0.8 的价差(即在均值两侧各挂单 $0.4),价格需波动至少一个标准差才能触及订单,其概率约为 32%。假设每次成交能捕获半个价差($0.4),则每个时间周期的预期收益约为 $0.128 (32% × $0.4)。

来源:知乎

  • C. 寻找最优解 通过对不同价差进行迭代计算,可以发现:价差 $0.2 预期收益约 $0.08;价差 $0.4 预期收益约 $0.122;价差 $0.6 预期收益约 $0.135;价差 $0.8 预期收益约 $0.128。结论是在此模型下,最优价差为 $0.6,即在距离均价 $0.3 (约 0.75σ) 的位置挂单,能实现期望收益的最大化。

来源:Movemaker

3.5 从静态模型到动态现实:多时间框架风险管理

上述模型的致命缺陷是假设了均值不变。在真实市场中,价格均值会随时间漂移。因此,专业的做市商必须采用多时间框架的分层策略来管理风险。

策略的核心在于,在微观层(秒级)沿用量化模型设定最优价差,同时在中观层(分钟级)和宏观层(小时/日级)监测价格均值的漂移和波动性结构的改变。当均值发生偏移时,系统会动态地重新校准整个报价区间的中轴,并相应调整库存头寸。

这种分层模型最终导向一套动态的风险控制规则:

  1. 当秒级波动性增加时,自动扩大价差
  2. 当中期波动性增加时,减少单笔挂单规模,但增加挂单层级,将库存分散在更宽的价格区间内。
  3. 当长周期趋势与库存头寸方向相反时,主动干预,如进一步削减挂单规模,甚至暂停策略,以防范系统性风险。

风险应对机制与高级策略

4.1 高频做市中的库存风险管理

前文所述的动态策略模型,属于高频做市的范畴。此类策略的核心目标是在精确管理库存风险 的前提下,通过算法设定最优买卖报价,以最大化预期利润。

库存风险,被定义为做市商因持有净多头或净空头头寸,而暴露于不利价格波动下的风险。当做市商持有多头库存时,面临价格下跌的亏损风险;反之,当持有空头库存时,则面临价格上涨的亏损风险。有效管理这种风险,是做市商能否长期生存的关键。

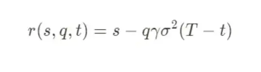
专业的量化模型,如经典的斯托伊科夫模型 (Stoikov Model),为我们提供了一个理解其风险管理逻辑的数学框架。该模型旨在通过计算一个动态调整后的“参考价格”,来主动管理库存风险。做市商的双边报价将围绕这个新的参考价格展开,而非静态的市场中间价。其核心公式如下:

其中,各个参数的含义如下:

  • r(s,q,t):动态调整后的参考价格,是做市商报价的基准中轴。
  • s:当前的市场中间价。
  • q:当前的库存量。若为多头则为正,空头则为负。
  • γ:风险规避参数 。这是一个由做市商设定的、反映其当前风险偏好的关键变量。
  • σ:资产的波动率。
  • (T−t):距离交易周期结束的剩余时间。

该模型的核心思想是,当做市商的库存 (q) 偏离其目标(通常为零)时,模型会系统性地调整报价中轴,以激励市场成交能使其库存回归均衡的订单。例如,当持有多头库存 (q>0) 时,模型计算出的r(s,q,t)将低于市场中间价 s,这意味着做市商会将其买卖报价整体下移,使得卖单更具吸引力,买单更不具吸引力,从而增加平掉多头库存的概率。

4.2 风险规避参数 (γ) 与策略的最终选择

风险规避参数 γ 是整个风险管理系统的“调节阀”。做市商会根据对市场状态的综合判断(如波动性预期、宏观事件等)来动态调整 γ 的值。在市场平稳时,γ 可能较低,策略偏向于积极赚取价差;当市场风险加剧时,γ 会被调高,使得策略极度保守,报价会显著偏离中间价以快速降低风险敞口。

在极端情况下,当市场出现最高级别的风险信号(例如,流动性枯竭、价格剧烈脱锚)时,γ 的值会变得极大。此时,模型计算出的最优策略,可能会是生成一个极度偏离市场的、几乎不可能成交的报价。在实践中,这等同于一个理性的决策——暂时性地、完全撤出流动性,以避免因无法控制的库存风险而导致灾难性亏损。

4.3 现实中的复杂策略

最后,必须强调的是,本文所讨论的模型,仅是在简化假设下对做市商核心逻辑的阐述。在真实的、高度竞争的市场环境中,顶级的做市商会采用远为复杂的、多层次的策略组合来最大化利润并管理风险。

这些高级策略包括但不限于:

  • 对冲策略:做市商通常不会任由其现货库存暴露于风险之下,而是会通过在永续合约、期货或期权等衍生品市场上建立相反的头寸,来实现Delta 中性或更复杂的风险敞口管理,将其风险从价格方向风险转变为其他可控的风险因子。

  • 特殊执行:在某些特定场景下,做市商的角色会超越被动的流动性提供。例如,在项目TGE后,他们通过 TWAP (时间加权平均价格)VWAP (成交量加权平均价格) 等策略,在一定时间内出售大量代币,这构成了其重要的利润来源。

1011复盘:风险触发与做市商的必然选择

基于前文建立的分析框架,我们现在可以对 1011的市场剧变,进行一次的复盘。当价格呈现出剧烈的单向移动时,做市商的内部风险管理系统必然被触发。触发该系统的,可能是多重因素的叠加:某一时间框架下的平均损失超出了预设阈值;净库存头寸在极短时间内被市场上的对手方“喂满”;或是在达到最大库存限制后,无法有效出清头寸,导致系统自动执行仓位收缩程序。

5.1 数据解析:订单簿的结构性坍塌

要理解当时市场的真实情况,我们必须深入分析订单簿的微观结构。以下这张源自订单簿可视化工具的图表,为我们提供了证据:

来源:@LisaLewis469193

(注:为保持分析的严谨性,请将此图视为对当时市场情况的典型呈现)

这张图表直观地展示了订单簿深度随时间的变化:

  • 灰色区域:代表卖盘流动性,即挂在当前价格之上、等待卖出的限价订单总和。
  • 蓝色/黑色区域:代表买盘流动性 ,即挂在当前价格之下、等待买入的限价订单总和。

在图中红色竖线标记的 凌晨5:13 这一精确时刻,我们能观察到两个同步发生的、异乎寻常的现象:

  1. 买盘支撑的瞬时蒸发:图表下方的蓝色区域出现了一个巨大的、近乎垂直的“断崖”。这种形态与买单被大量成交所消耗的情况完全不同——后者应呈现出流动性被逐级、渐次侵蚀的形态。而这种整齐划一的垂直消失,唯一合理的解释是:大量的限价买单被主动、同时、批量地取消了
  2. 卖盘阻力的同步消失:图表上方的灰色区域也出现了几乎完全相同的“断崖”。大量的限价卖单在同一瞬间被主动撤离。

这一系列动作,在交易术语中被称为“流动性撤离”。它标志着市场的主要流动性提供者(主要是做市商),在极短的时间内,几乎是同步地撤回了他们的双边报价,瞬间将一个看似流动性充裕的市场,转变为一个极度脆弱的“流动性真空”。

5.2 事件的两个阶段:从主动撤离到真空形成

因此,1011的暴跌过程,可以清晰地划分为两个逻辑递进的阶段:

第一阶段:主动的、系统性的风险规避执行

在 凌晨5:13 之前,市场可能仍处于表面的平稳状态。但在那一刻,某个关键的风险信号被触发——这可能是一则突发的宏观消息,也可能是某个核心协议(如 USDe/LSTs)的链上风险模型发出了警报。

在接收到信号后,顶尖做市商的算法交易系统立即执行了预设的“紧急避险程序”。该程序的目标只有一个:在最短的时间内,将自身的市场风险敞口降至最低,优先于一切盈利目标。

  • 为何撤销买单? 这是最关键的防御性操作。做市商的系统预判到,一场规模空前的抛压即将来临。如果不立即撤走自己的买单,这些订单将成为市场的“第一道防线”,被迫承接大量即将暴跌的资产,从而造成灾难性的库存亏损

  • 为何同时撤销卖单? 这同样是基于严格的风险控制原则。在波动性即将急剧放大的环境中,保留卖单同样存在风险(例如,价格可能在暴跌前出现短暂的向上“假突破”,导致卖单在不利价位被过早成交)。在机构级的风险管理框架下,最安全、最理性的选择是“清空所有报价,进入观察模式”,直到市场重新出现可预测性,再根据新的市场状况重新部署策略。

第二阶段:流动性真空的形成与价格的自由落体

在 凌晨5:13 之后,随着订单簿“断崖”的形成,市场结构发生了根本性的质变,进入了我们所描述的“流动性真空”状态。

在主动撤离之前,要使市场价格下跌 1%,可能需要大量的卖单来消耗层层堆积的买盘。但在撤离之后,由于下方的支撑结构已不复存在,可能只需要极少数的卖单,就能造成同等甚至更为剧烈的价格冲击。

结论

1011史诗级的市场崩盘,其直接的催化剂与放大器,正如图表所揭示的、由顶尖做市商所执行的一次大规模、同步的主动性流动性撤离。他们并非崩盘的“元凶”或始作俑者,但他们是崩盘最有效率的“执行者”和“放大器”。通过理性的、以自我保全为目的的集体行动,他们创造了一个极度脆弱的“流动性真空”,为后续的恐慌性抛售、协议脱钩压力、以及最终的中心化交易所连环清算,提供了完美的条件。

关于 Movemaker

Movemaker 是由 Aptos 基金会授权,经 Ankaa 和 BlockBooster 联合发起的首个官方社区组织,专注于推动 Aptos 华语区生态的建设与发展。作为 Aptos 在华语区的官方代表,Movemaker 致力于通过连接开发者、用户、资本及众多生态合作伙伴,打造一个多元、开放、繁荣的 Aptos 生态系统。

免责声明:

本文/博客仅供参考,代表作者的个人观点,并不代表 Movemaker 的立场。本文无意提供:(i) 投资建议或投资推荐;(ii) 购买、出售或持有数字资产的要约或招揽;或 (iii) 财务、会计、法律或税务建议。持有数字资产,包括稳定币和 NFT,风险极高,价格波动较大,甚至可能变得一文不值。您应根据自身的财务状况,仔细考虑交易或持有数字资产是否适合您。如有具体情况方面的问题,请咨询您的法律、税务或投资顾问。本文中提供的信息(包括市场数据和统计信息,若有)仅供一般参考。在编写这些数据和图表时已尽合理注意,但对其中所表达的任何事实性错误或遗漏概不负责。